共振可饱和吸收体/吸收镜(Resonant Saturable Absorber Mirror-RSAM)是专门用于脉冲选择器或放大器后的光噪声抑制或光脉冲清洁的吸收体,可做到共振波长下的低强度反射率≤1%。更多产品信息,需求信息,请联系苏州威廉体育光电科技有限公司相关销售人员。
波长:980,1030,1060,1550nm可选
特点:高性价比、可定制
RSAM主要参数规格:
|
参数 |
符号 |
型号 |
单位 |
|||
|
|
|
RSAM 980 |
RSAM 1030 |
RSAM 1064 |
RSAM 1550 |
|
|
激光波长 |
λ |
968 - 984 |
1030 |
1050 ~ 1064 |
1530 ~ 1550 |
nm |
|
吸收比 |
A0 |
≥ 99 |
≥ 99 |
≥ 98 |
≥ 98 |
% |
|
调制深度 |
ΔR |
~ 60 |
~ 55 |
~ 60 |
~ 60 |
% |
|
弛豫时间 |
τ |
~ 1 |
~ 1 |
~ 9 - 32 |
~ 10 |
ps |
|
饱和通量 |
φsat |
15 |
50 |
15 -30 |
15 |
µJ/cm^2 |
其他参数:
|
参数 |
说明 |
值/相关描述 |
单位 |
|
芯片大小 |
尺寸大小 |
4 x 4 |
mm |
|
芯片厚度 |
半绝缘GaAs |
450 |
µm |
|
安装座可选 |
无安装座 |
无安装座 |
- |
|
|
粘合或焊接 |
12.7 mm Φ Æ (1/2" Φ) Cu-mount |
mm |
|
|
|
25.0 mm Φ Cu-mount |
mm |
|
|
|
25.4 mm Φ (1" Æ) Cu-mount |
mm |
|
|
水冷式焊接 |
25.0 mm Æ Cu-mount |
mm |
|
|
薄膜焊接 |
water-cooled Cu-mount |
- |
|
|
光纤耦合 |
SMF,PMF 可选 |
- |
|
|
|
SMF,PMF 可选,带TEC |
- |
|
|
用户指定 |
用户定制 |
- |
*其他波长,或许定制的参数规格,请联系苏州威廉体育光电科技有限公司相关销售人员。
产品外观:
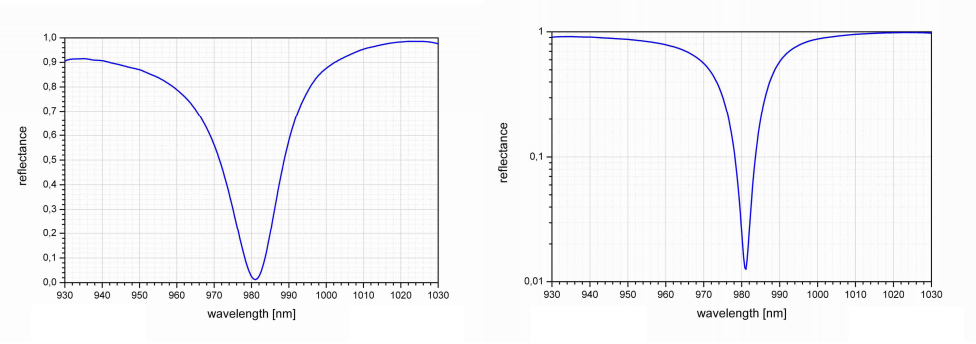
RSAM光谱反射/传输参考:
|
RSAM 980-X |
|
|
|
|
|
RSAM 1064-X |
|
|
|
|
|
RSAM 1550-X |
|
|
*其他波长,或许定制的参数规格,请联系苏州威廉体育光电科技有限公司相关销售人员。
